“When administered orally, intramuscularly, or added to the feed, beta-glucans have the enormous potential to boost fish growth and survival rates, while supplying disease resistance and defense against infectious diseases. The receptor present inside the animal’s body recognizes and binds to the β–glucan, which in turn renders the animal with high resistance and enhanced immune response.”

UG Graduate, III Year B.F.Sc
Dr. M.G.R Fisheries College & Research Institute, TNJFU

Research Scholar, PhD
Dr. M.G.R Fisheries College & Research Institute, TNJFU
The industry that produces food with the quickest rate of growth is aquaculture. To increase production, intensive techniques including high stocking densities, artificial feeding and fertilization have become common. The industry is facing a variety of difficulties as a result of intensification. The difficulty in achieving larger yields is mostly due to the prevalence of illness in farming systems. To stop a disease epidemic, control and prevention are the most crucial considerations. A potential immunostimulant, β-glucan aids in the control of infections, provides immunity to infectious illnesses, and stimulates immune responses in culture systems.
HISTORY
The human immune system was originally demonstrated to be stimulated by zymosan, an unrefined yeast cell wall extract, in the 1940s. Due to negative side effects, zymosan’s use was discontinued. Upon the discovery of beta-glucan as the active component of zymosan, twenty years later, study and usage of the substance got underway.

STRUCTURE & SOURCE
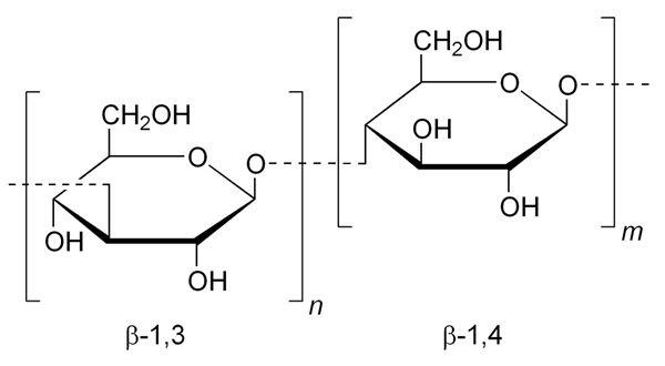
Beta-glucans are linear, unbranched homopolysaccharides that are found in nature and have just glucose as their structural constituents. These structural components are connected by glycosidic linkages. The most prevalent Beta-glucans are formed from the cell walls of baker’s yeast Saccharomyces cerevisiae and Echinaceae members and are composed of D-glucose units with β-1, 3 connections. While β-1, 3 glucan is obtained from Schizophyllum commune, yeast glucan (1-3 and 1-6 linked glucan) is recovered from Saccharomyces cerevisiae cell walls. The β-glucans found in cereals (wheat, rye, barley) have both 1,3 and 1,4 backbone linkages. Some types of seaweed and several species of mushrooms, such Shiitake and Maitake, are additional sources. Additionally, bacteria (curdlan from Alcaligenes faecalis) create β-glucans, which is found in grains (Harada et al., 1968).
AN IMMUNOSTIMULANT IS WHAT?
A substance that directly interacts with system cells to excite them is known as an immunostimulant. It might be a substance, medication, or stressor (Barman et al., 2013). They activate the key immune system components, such as phagocytosis, the properdin and complement systems, protective secretory IgA antibodies, the release of α and γ-interferon, T- and B-lymphocytes and the production of certain antibodies and cytokines. Immunostimulants boost the host’s natural immunity, enhancing its ability to fight off infections. Immunostimulants’ ability to enhance phagocytic cell activity and increase their fungicidal and bactericidal capabilities is their most well-documented impact. Beta glucan is strongly stimulatory to macrophages (Seljelid et al., 1984). White blood cells known as macrophages are an essential component of the immune system that protects multicellular organisms against infections.
WHY IMMUNOSTIMULANTS ARE PREFERRED OVER VACCINES?
Immunostimulants are nonspecific, because they can increase immunity to a wide variety of diseases, whereas vaccinations provide resistance to only one or two particular pathogens and temporarily shield the body from sickness. Compared to vaccinations, which are more expensive and have a narrower spectrum of action, immunostimulants are less expensive and more effective. In case of fish and shrimp larvae, immunostimulants are much easier to administer than vaccines.
β- GLUCANS AS MODIFIERS OF BIOLOGICAL RESPONSE (BRM)
Biological response modifiers are a class of chemical substances with physiological activity. β-glucans are a part of BRMs, which are known for their striking physiological effect. BRM may be categorized into:
i) Cytokines: which are in charge of regulating the immune system and facilitating communication between the cells of immune system.
ii) Immuno-modulators: These substances can either stimulate or depress the immune system (Immuno-suppressants).
Beta-glucan being a most potent immunostimulant, well-known for their biological response modifiers (BRMs) possess substantial immunomodulating action. The receptor present inside the animal’s body recognizes and binds to the β–glucan, which in turn renders the animal with high resistance and enhanced immune response.
ADVANTAGES OF β-GLUCAN
The effects of β-glucan in humans, fish, and animals include improving immune system performance without making it overactive, lowering LDL cholesterol levels, preventing infections, boosting resistance to infectious pathogens, promoting wound healing, and acting as an adjuvant in the treatment of cancer. β- Glucans can be used to treat intestinal issues and control mucosal immunity in the gut since they are indigestible.
METHODS OF ADMINISTRATION
When administered orally, intramuscularly, or added to the feed, beta-glucans have the enormous potential to boost fish growth and survival rates, while supplying disease resistance and defence against infectious diseases.
β-GLUCANS’ FUNCTION IN THE FISHERIES SECTOR
• It increases the activity of both cellular and non-cellular defense systems, including lysozyme, phagocyte, complement, and macrophage bactericidal capabilities.
• Encourage restoration from immunosuppressive conditions, caused by any kind of stress.
• Preventive care for anticipated seasonal outbreaks of endemic illnesses.
• Reducing the mortality of young fish from opportunistic infections.
• Prevents the Viral illness and enhances resistance against farmed shrimp disease resistance.
• Increasing the effectiveness of vaccinations and anti-microbial drugs.
CONCLUSION
Antibiotics and vaccinations are frequently used to stop the spread of infectious illnesses. However, these methods are not economical, and over time, microorganisms develop antibiotic resistance. As a result, immunostimulants are being utilized more often in aquaculture as a substitute for vaccinations and antibiotics to achieve sustainable aquaculture.
References
1.Barman, D., Nen, P., Mandal, S. C., & Kumar, V. (2013). Immunostimulants for aquaculture health management. J Marine Sci Res Dev, 3(3), 1-11.
2. Harada, T., Misaki, A., & Saito, H. (1968). Curdlan: a bacterial gel-forming β-1, 3-glucan. Archives of Biochemistry and Biophysics, 124, 292-298.
3. Seljelid, R., Bøgwald, J., Hoffman, J., & Larm, O. (1984). A soluble β-1, 3-D-glucan derivative potentiates the cytostatic and cytolytic capacity of mouse peritoneal macrophages in vitro. Immunopharmacology, 7(1), 69-73.
About Raahavishree Thanigaivel
Raahavishree Thanigaivel is now enrolled in Dr. M.G.R Fisheries College & Research Institute, TNJFU, Ponneri, where she is in her third year of undergraduate. The enormous variety of fishes and their habitats fascinate her. She has been attending various international and national seminars to nurture the knowledge of fisheries. Sticking to the quote “Share your knowledge. It is a way to achieve immortality”.About Malreddy Joshna
Malreddy Joshna is currently pursuing her doctor of philosophy in aquaculture at Dr. M.G.R. Fisheries College and Research Institute, TNJFU, Ponneri. She has dissertated her master degree on Inulin related studies on GIFT, which is also a feed additive. She has been attending a range of national and international seminars to deepen her understanding of fisheries keeping with the adage “To gain knowledge, add things every day.” She has written and published a number of reviews.