Hydroxy trace minerals can be offered at a price point that allows for the complete replacement of reactive, inorganic trace mineral sources in the diet. When compared on average with multiple, research proven organic trace minerals sources, hydroxy trace minerals would represent a 50- 60% savings while delivering an equivalent, or greater level of animal efficacy.

Category Lead
Selko Feed Additives
Much has been written about the absolute requirement for a supplemental trace mineral source within your animals’ diet. This is supported by the fact that certain trace minerals, i.e. zinc, copper, manganese, selenium, etc. are essential to maintain high levels of animal productivity and well-being. This need requires a nutritionist to select a source of supplemental trace mineral to achieve the desired performance goals. Based on industry statistics, many industry nutritionists follow long established norms by simply selecting an inorganic source of trace mineral (oxides and or sulphates) to fill the void without taking all the variables associated with the selection of a cost effective, highly effective source of trace mineral into account. With increasing demand for improved environmental compliance and using resources in a more sustainable way nutritionists are beginning to re-evaluate their trace mineral strategies.
4 QUESTIONS YOU CAN ASK WHEN RE-EVALUATING YOUR TRACE MINERAL STRATEGY
When assessing the overall cost and value of a trace mineral source a few basic requirements must be kept in mind.
1. What is the actual availability of the trace mineral form under consideration?
A trace mineral source is only of value to the animal when the metal it is carrying is efficiently absorbed across the intestinal wall into the animal’s blood stream. Only after the metal is absorbed, is the animal able to utilize the metal to support key production objectives like growth, reproduction, immune function, hoof health, production, etc.
2. Are you getting what you have paid for?
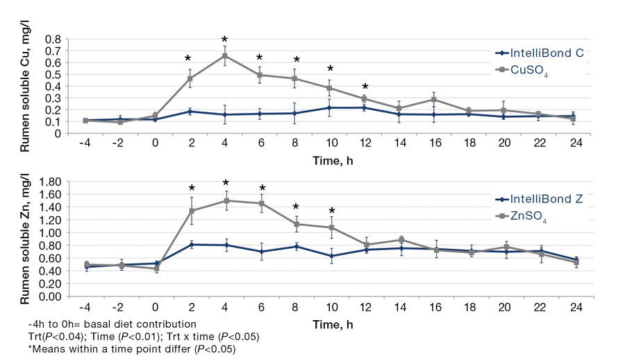
Certain trace minerals (metal sulphates, etc.) are highly reactive chemical substances fuelled by their solubility in the upper digestive tract of the animal (Figure 1). These reactions, supported by high trace mineral solubility, can adversely affect gut integrity and the stability and availability of many essential nutrients (vitamins, fats, AAs, probiotics, etc.) that you have paid for, leaving you with a hole in your diet, and your bottom line.
3. What is the impact of the trace mineral source on the environment?
Any trace metal that is consumed by the animal but not absorbed is quickly excreted by the animal, negatively impacting environmental compliance. This becomes increasingly important where the practice may be to simply overfeed inorganic trace minerals sources well above requirements to compensate for the uncertainty. Due to the instability of some trace mineral sources, this environmental impact becomes even higher as other essential nutrients react with instable sources and are excreted as well.
4. What value does it bring you?
An increasing body of research has been able to demonstrate that cheaper, inorganic trace mineral sources (sulphates, oxides, etc.) have a significant number of hidden costs that impact their total cost of use. What appears to be a lower initial purchase cost can quickly become a much more expensive source of trace mineral supplementation when all associated negative side effects are taken into consideration.

*Caldera et al., 2019, J.Anim. Sci. 97:1852-1864
TWO IMPROVED TRACE MINERAL CATEGORIES
Recognition of these hidden characteristics and their negative impact on animal productivity has led to the development of a long list of “improved” trace minerals sources. While the list of individual products is long, it can be shortened into two primary categories organic trace minerals, which have been present in the market for some time and hydroxy trace minerals (IntelliBond®), which delivers the newest trace mineral supplementation technology.
Organic trace mineral sources
Organic trace minerals are categorized as organic based on their metal being attached via covalent bonds to one or more carbon containing molecules (amino acids, polypeptides, polysaccharides, organic acids, etc.). Research shows that the combination of the metal and its organic chaperones provides organic trace minerals with a higher level of stability, less reactivity and improved bioavailability when compared to conventional inorganic trace mineral sources. When considering the selection criteria highlighted above most organic trace mineral products would offer animals an improved source of essential trace metal absorption. Their primary drawback continues to be their higher, initial cost relative to inorganic sources, ranging from 6 to 10 X the cost of inorganic supplementation. While this number may seem high, a measurable improvement in animal well-being and or productivity based on their use can quickly end up providing a positive return on investment.

**Rochell et al., 2013, Univ. of IL
Hydroxy trace mineral sources
Hydroxy trace minerals were developed and introduced in the late 1990s utilizing a novel trace mineral technology. Each hydroxy trace mineral (zinc, copper, and manganese) exists as a completely stable metal crystal above a pH of 4.0. This provides rock-solid stability in the feed and upper GI tract, basically eliminating the antagonistic reaction concern highlighted above. Only when the hydroxy metal crystals reach the low pH environment (< 4.0) of the stomach, gizzard, or abomasum, do the metal crystals begin to slowly disassociate their metal ions, which are then released to the small intestine for efficient absorption across the intestinal wall (Figure 2).
IMPROVING ANIMAL PRODUCTIVITY AND WELL-BEING
Over 200 independent research trials show the ability of each metal hydroxy source to improve animal productivity and well-being while eliminating all negative side effects. One such side effect in ruminants is the antimicrobial effects of zinc and copper originating from zinc and copper sulphate on the microbiome of the rumen. Multiple research studies have proven that normal feeding levels of zinc and copper sulphate in dairy and beef rations can reduce NDFd by approximately 2 points! Published research has put the value of this loss at up to 0.5 kg of fat corrected milk per cow per day during early lactation. Completely replacing sulphate trace minerals with hydroxy trace minerals can eliminate this costly side effect, thereby optimizing rumen function, and profitability.
TAKING RETURN ON INVESTMENT INTO ACCOUNT
Hydroxy trace minerals can be offered at a price point that allows for the complete replacement of reactive, inorganic trace mineral sources in the diet. When compared on average with multiple, research proven organic trace minerals sources, hydroxy trace minerals would represent a 50- 60% savings while delivering an equivalent, or greater level of animal efficacy.
Before finalizing the selection of an essential source of trace mineral supplementation keep in mind the criteria highlighted above as a guideline to maximize the total return on your trace mineral investment. It’s an important choice for the benefit of the animal under your care and the environment in which we live.