The 2025 Trouw Nutrition Global Mycotoxin Review provides feed mills and farmers with insights to safeguard feed quality and livestock performance in 2026. Dr. Swamy Haladi and Avinash Bhat highlight key contamination risks, predictive modeling, and mitigation strategies to help producers make informed decisions on raw material sourcing, storage, and feed formulation.
Trouw Nutrition, Nutreco’s livestock feed business, is sharing findings on the levels of mycotoxin contamination in 2025 feed ingredients, silage, and complete feeds. As climate change, global sourcing practices, and an ever-evolving mycotoxin landscape pose challenges to animal feed quality, livestock performance, and producers’ businesses, these findings can inform critical decisions on the farm and at the feed mill.
A robust predictive model capable of assessing mycotoxin concentration levels globally and regionally analysed more than 120,000 samples from 47 countries. Farms and feed mills can use the data generated by the model to bring more clarity and precision to strategies involving raw material sourcing, storage practices, mitigation efforts, and other critical decisions.

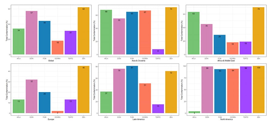
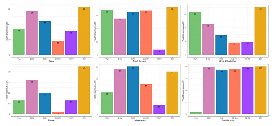
The most-detected mycotoxins included Deoxynivalenol (DON) and Zearalenone (ZEN), which were present in 57% and 62% of global samples, respectively. Dr. Swamy Haladi, Global Category Manager for Mould and Mycotoxin Risk Management at Trouw Nutrition, noted that it is unclear why the prevalence of ZEN is increasing. The increase could be a response to changes in climate and weather or an ongoing ingredient management issue. “In the last couple of years, there’s been a significant increase in ZEN contamination, even beyond the DON, and that is a bit of a concern,” Dr. Haladi said.
The mycotoxins found in the highest average concentrations include DON, at 583ppb, and fumonisins (FUM) at 961ppb, which also accounted for the highest maximum concentration. These numbers are most useful when considered in context with the vulnerability of different animal species and subspecies to various mycotoxins. “For sows, the 86ppb of ZEN could be a problem, while in the grow-finisher pigs, that might not be an issue, so you need to consider the animal you are feeding,” said Dr. Haladi.
CONSIDER SOURCING, SEASONALITY, AND SPECIES WHEN ASSESSING MYCOTOXIN RISK
Concentrations (amounts) of mycotoxins were similar between 2024 and 2025. However, concentrations tended to peak in different months for several mycotoxins. Livestock and feed producers should be aware of the regions from which feed ingredients are sourced.

Many samples coming from countries in Asia tested high for levels of DON and ZEN, which are typically concerns in cooler climates. These levels highlight the importance of keeping an eye on the quality of imported raw materials.
Maize is just one source of mycotoxins that can contaminate feed. Other grains, byproducts, and protein meals contain different mycotoxins, which can increase the overall contamination level. When formulating diets, care needs to be paid to both which mycotoxins are likely to be present and the vulnerabilities of a specific species.
Analyses of broiler and laying hen diets highlighted a high feed risk potential from FUM and aflatoxin (AFLA). ZEN presented the largest risk factor for piglet diets, while FUM and AFLA were more of a challenge for sow and grow-finish pig feeds. In ruminants, ZEN and DON were a high risk for dairy calves, followed by AFLA and FUM. Dairy cows could face different challenges, with high risks from ZEN, T2/HT2, and DON in the total mixed ration, and DON and AFLA in concentrate feed. Aquafeed samples had high risk levels for AFLA, FUM, and ZEN.

NEW MODEL FOR FORECASTING MYCOTOXIN PRESENCE, CONTAMINATION IN 2026
Avinash Bhat, MSc, Technical Specialist at MasterLab, noted that the dataset created by years of sample testing has allowed Trouw Nutrition to generate a new predictive model for mycotoxins. Globally, the system is designed to provide a predicted average contamination level and indicate a probable range of contamination.
For example, the predicted average for DON was 460ppb, with most of the contamination between 200ppb and 750ppb. Zearalenone results indicate an average of 73ppb, with about 95% of samples expected to contain the toxin at levels ranging from 50ppb to 150ppb.

The predictive system can also be used to focus on ingredients within a region. Results at those levels, however, could be influenced by limited historical data.

Results from the enhanced model can inform action plans for feed production in regions of concern. Early analysis in Poland suggests that DON will be present in most maize, while producers in France may consider steps to protect reproductive health in breeding herds and incorporate ZEN-targeted mitigation efforts into diets and management plans. In Latin America, FUM are the most common high intensity threat, while DON is predicted to be an industrial risk in the milling and ethanol sectors, which would influence DDGS contamination levels.
ADDRESSING EMERGING AND MASKED MYCOTOXINS
Emerging and masked mycotoxins remain a concern, and enniatins are gaining attention. As the most common emerging mycotoxin in some regions, enniatins have been detected in a range of feed ingredients including barley, oats, and wheat. Enniatins have been found to increase the toxicity of other mycotoxins, including DON and ZEN, even when other toxins are only present in low levels. It is possible enniatins could be responsible when animals have unexplained diarrhoea, or when producers observe increases in FCR, declines in average daily gain, or issues with reproductive health, said Dr. Haladi. The TOXO-XL broad-spectrum mycotoxin mitigation product has been found to help manage enniatins and other emerging mycotoxins.
Overall, analyses, findings, and predictive modelling demonstrate the prevalence of mycotoxins and remind producers to be aware of threats in local feed ingredients as well as those imported. Research continues to demonstrate animal sensitivity to different mycotoxins, including new findings that highlight a negative response in poultry to feeds containing DON and FUM.
“Understanding the specific mycotoxin risks in your raw materials and finished feeds is essential. It enables producers to select the right mitigation strategies at the right time—protecting animal health, performance, and business outcomes,” said Dr. Haladi.
Both the English and Spanish recordings of the 2025 Global Mycotoxin Review are available by registering on the Trouw Nutrition website.